1. 진상콘덴서에 의한 역률개선 대책
전력계통 운용상 부하 및 계통에서 소비되는 무효전력을 어떻게 공급하고 조정, 제어하는가는 매우 중요한 것으로서, 이 무효전력의 공급원으로서의 진상콘덴서는 중요한 역할을 맡고 있다. 진상콘덴서의 이용에 의한 부하의 역률개선으로는 선로전류의 감소에 수반되는 손실의 저감, 전압강하의 저감, 수용가 수전설비의 효과적인 이용등의 효과가 있다.
1970년대의 석유위기 이래 에너지 절약에 대한 인식이 높아졌고, 1979년에는 [에너지 사용합리화에 관한 법률]도 시행되어, 구체적 방법으로서 통산성 고시에 의해 [전기의 손실방지를 위한 개선조치]가 정해졌는데, 이중에서 특히 “수전단의 역률을 95% 이상으로 하는 것을 목표로 하여..... 진상콘덴서의 설치 등에 의해 역률 향상을 도모할 것“ 등 진상콘덴서의 적극적인 사용에 의한 역률개선을 권장하고 있다. 또한 석유위기 당시 전기요금의 대폭적인 인상에 의해 역률 할인 요금제도에 의한 전기요금 절감효과도 커짐으로써 일반 수용가의 진상콘덴서 보급을 촉진시켰다.
2. 에너지 절약 효과
진상콘덴서 설치에 의해 부하역률이 개선되면 그 개선역률에 적합할 정도의 기본요금이 할인된다. 또한 선로전류가 감소함으로써 수용가 구내만이 아니라, 전력회사 계통에서도 전선이나 변압기의 전력손실이 저감되는 동시에 설비용량에도 여유가 생기고, 선로전류가 통과하는 송배전선로나 변압기에 의한 전압강하도 감소시킬 수가 있다.
(1) 전기 기본요금의 할인
전력회사에서 실시하고 있는 역률 요금제도에 의해 역률이 개선되면 매달 기본요금이 할인되어 전기요금이 절약되는 제도이다. 기본요금의 할인은 진상콘덴서 설치에서 가장 투자효율이 높은 에너지 절약대책이라고 할 수 있다.
(2) 선로손실의 저감
역률개선에 의해 선로전류가 감소하면 전선 내의 저항에 의한 선로손실이 저감되며, 저감되는 전력손실은 다음식으로 구해진다.

단상회로의 전력손실

3상회로의 전력손실

선로손실의 저감의 예
부하 210V , 50kW 이고 부하에 이르는 선로는 CV3심 100㎟ 로 길이가 10m 이다. 부하역률은 70%였으나 진상콘덴서 36kvar 를 설치하여 역률을 95%로 개선하였다. 이 케이블의 저항은

선로의 저항 공식
이므로 역률개선에 의한 선로손실은

역률개선에 의한 선로손실 저감 산식
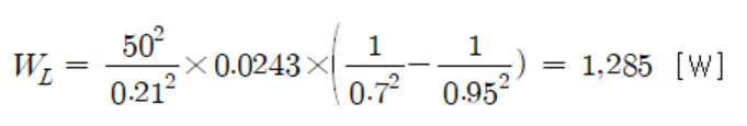
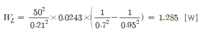
가 저감되게 된다. 이 부하를 연간 2,000시간 가동하면 연간 2,570 kWh의 손실을 줄일 수 있다.
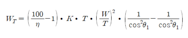
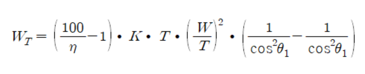
(3) 변압기손실의 저감
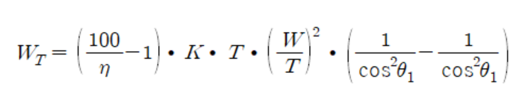
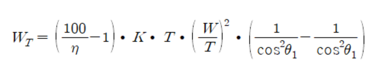
변압기에서의 전력손실의 대부분은 철심 내에서 생기는 철손과 권선에서 생기는 동손이지만, 이 중 부하전류가 통과하는 동손이 저감될 수 있다. 진상콘덴서로 역률개선했을 때의 변압기 손실의 저감량은 다음 식으로 구해진다.

진산콘덴서 사용시 변압기의 손실 저감량 산식

변압기 100kVA 에 210V, 50kW, 역률 70%의 부하가 접속되어 있을 때 36kVar 의 진상콘데서를 설치하여 역률을 95%로 개선하였다. 이 변압기의 효율이 98%, 전체 손실에 대한 동손비는 1/4이었다고 하면 역률개선에 의한 변압기의 손실은

변압기 손실 개선 산식
가 저감되게 된다. 이부하를 연간 2,000 시간 가동하면 연간 약 240 kWh의 손실이 저감된다.
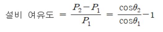
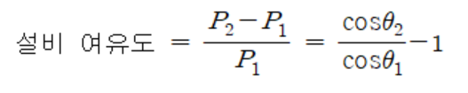
(4) 배전설비의 여유
역률개선에 의해 선로전류가 감소함으로써 변압기나 배전선 등의 설비부하가 가벼워지고 설비에 여유가 생기게 된다. 기존 설비에서는 설비 증강을 수반하지 않고도 부하증설이 가능하여 전기설비의 효과적 이용이 가능하였고 또 신규 설비에는 설비용량의 소용량화가 가능해 자원 절약화가 도모된다.
증설부하의 역률이 진상콘덴서 설치 후의 부하역률과 동일하다고 할 경우의 증설 가능한 부하용량은 다음 식으로 구해진다.

설비 여유도 산식

증설가능한 부하용량의 계산 예
변압기 100kVA 에 50kW, 역률 70%의 부하가 접속되어 있을 때 36kvar 의 진상콘덴서를 설치하여 역률을 95%로 개선했을 때 증설가능 부하용량은 다음과 같이 구해진다.

증설가능 부하용량 산식
따라서 50kW × 0.36 = 18kW (역률 95%)의 부하가 현재의 설비로 증설 가능하다.
(5) 전압강하의 저감
진상콘덴서 설치에 의한 역률개선으로 선로전류가 감소하면 배전선로나 변압기 저항, 리액턴스에 의한 전압강하가 저감되어 전압이 안정되므로 부하설비의 생산능률이 향상되거나 제품 품질 안정에 도움이 된다.
전압강하의 크기는 대개 다음 식으로 산출된다.

전압강하의 크기 산출 식

전압강하 개선 예
100kVA 변압기 2차측에 600V, CV3 심 100㎟ 케이블 100m를 거쳐 50kW, 역률 70%의 부하가 있다. 이 부하에 36kvar의 진상콘덴서를 설치해 역률을 95%로 개선한다. 변압기의 %IR 및 %IX는 %IR = 0.5% , %IX = 2.5% 로 한다. 케이블의 저항 및 리액턴스는

100kVA 기준의 %IR 및 %IX는

가 되므로 변압기와 케이블의 합계는

가 된다. 개선 전과 개선 후의 전압강하는

개선 전 전압강하

개선 후 전압강하
가 되며 전압강하는 1.5% 개선한 것이 된다.
3. 에너지 절약대책의 포인트
(1) 역률개선의 설비, 시스템, 기술
일본 경제산업성 고시에서 중장기 계획 책정에서 참조할 만한 지침이 공표되었는데, 역률개선으로서 표의 설비, 시스템, 기술명이 제시되어 있다. 이들의 특징과 주의점은 아래와 같다.

역률개선으로서의 설비, 시스템 기술명
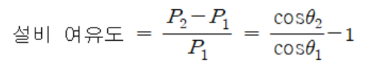
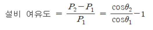
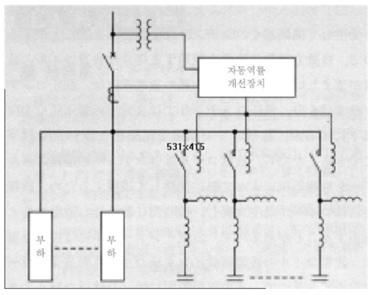
① 자동 역률개선장치
설비의 가동, 정지에 맞추어서 진상콘덴서를 가동, 정지시키기 위한 설비로서 무효전력을 검출하여 제어하는 것인데, 여러 가지 제어가 가능한 장치 (그림.1)나 부하의 전류량을 검출하여 1군의 제어를 하는 장치 (그림.2)가 일반적이다.

[그림1.] 다단계제어의 무효전력 검출방식 자동 역률개선의 회로 예

[그림2.] 1단 제어의 전류 검출방식 자동 역률개선의 회로 예
진상콘덴서를 부하 증감에 맞추어서 개폐제어하지 않으면, 경부하 시에 과진상이 되어 모선의 전압상승에 의한 문제가 발생하거나, 콘덴서 전류에 의한 배전선이나 변압기의 전력손실이 발생되어 에너지 절약효과가 상쇄된다.
또한 부하변동이 심하여 진상콘덴서 개폐가 빈번하게 이루어지는 경우 콘덴서에 큰 잔류전압이 남은 상태에서 재투입되면, 과대한 과도전압과 돌입전류를 발생시켜 개폐기나 콘덴서에 손상을 주는 일이 있으므로, 자동 역률개선장치를 사용하는 경우는 방전 코일설치가 바람직하다.
콘덴서 내장의 방전저항은 고압 콘덴서에서는 5분, 저압 콘덴서는 3분으로 잔류전압을 50V 이하로 할 수 있다. 다만 방전 코일은 콘덴서의 정전에너지를 권선저항에 의해 열로 변환하여 소비하기 때문에, 방전 시에는 코일의 온도가 상승하며 단시간에 반복 방전하면 소손되는 일이 있으므로 방전 인터벌에서는 주의를 요한다. 방전 코일의 방전가능 인터벌은 각 제조회사에서 정하고 있으므로 그 취급 설명에 따라 사용해야 한다.
② 모터 일체형 진상콘덴서
모터에 진상콘덴서를 직결해서 진상콘덴서 전용의 개폐기를 생략할 수 있는 저가 방식이기 때문에 많이 사용되고 있다. 이 방식으로 개폐기를 개로하면 모터는 관성에 의해 회전하고 있기 때문에 단 시간이지만 콘덴서가 부하여 유도 발전기로서 작용, 전동기 단자 전압이 이상 상승하는 경우가 있는데, 이것을 유도전동기의 자기여자 현상이라고 한다. 자기여자 현상에 의한 이상 전압상승을 피하려면 모터의 무부하 여자전류 이하의 콘덴서 전류 (모터 정격요량 [kW]의 1/3 ~ 1/4 정도의 콘덴서 용량) 가 되도록 선정하면 된다. 고압의 경우는 모터의 시험성적서 등을 확인하거나 제조회사에 확인할 필요가 있지만, 저압은 내선규정에 정해진 설치용량 기준에 따르면 된다. 다만 자기여자 현상을 고려하여 진상콘덴서의 용량을 선정하면 모터의 전부하 시의 무효전력을 전부 보상할 수가 없어 100% 가까운 역률이 되지 않으므로, 수전 고압모선 설치의 진상콘덴서 등에 의해 개선 부족분을 보상하는 것이 바람직하다.
(2) 진상 콘덴서 설치 개소
진상콘덴서 설치개소로서 수전 고압모선 일괄, 서브변전 고압모선 일괄, 고, 저압 부하직결 등이 있으며, 설치효과, 설비비용, 보수점검의 용이성 등에 더해 수용가마다 계통구성이나 부하상태 등이 다르기 때문에 최적 개소를 결정하는 것이 상당히 곤란하다. 전력기본요금의 할인은 접속개소에 관계가 없으므로, 그 밖의 에너지 절약효과에서 볼 때 선로말단이 좋은 것은 명확하지만, 진상콘덴서를 분산 설치할수록 그 사용률은 나빠지고 콘덴서 총용량도 커져서 설비비용이나 보수점검면에서 불리해진다. 진상콘덴서 설치개소를 정하는 데 있어서는 일반적으로 다음과 같은 것을 참고로 하면 된다.
● 특별고압 수전 수용가 중에서는 수전점에 집중 설치하는 일도 있지만 개폐기 등이 상당히 고가이기도 해서 수전변압기 2차측 고압 모선에 일괄 설치하는 경우가 많다. 서브변전 고압모선 설치나 저압설치 진상 콘덴서의 역률개선은 90 ~ 95% 정도를 목표로 하고 전체적인 역률개선을 수전고압 모선에 일괄적으로 설치하여 행한다.
● 대용량 부하에서는 부하와 직결해서 진상콘덴서를 설치한다.
● 다수의 소용량 저압부하에서는 변압기 2차측 저압모선에 일괄해서 설치한다.
(3) 진상콘덴서의 고조파 필터효과 활용
종래의 진상콘덴서 설치는 역률개선과 이에 수반되는 전력손실 저감이나 전압강하 저감을 목적으로 하고 있었다. 그렇지만 최근의 산업 전기기기나 가정용 전기기기 대부분은 반도체가 사용되어 편리성과 조작성 향상이 도모되고 있고, 이들 기기에서 발생하는 고조파 전류에 의해 전력계통 전압이 변형되어 이것에 접속되는 기기에 장해가 나타나고 있다. 이 때문에 1994년 9월에 자원에너지청에서 [고압 또는 특별고압으로 수전하는 수용가의 고조파 억제대책 가이드라인]이 제정되어 전력계통에 유출하는 고조파 전류가 계약전력에 따라 억제되었고, 이 가이드라인의 구체적인 억제방법으로서 [고조파 억제대책 기술지침] JEAG 9705-1995가 제정되었다. 이 지침 중 고조파 억제대책기술의 한 가지로서 직렬 리액터 (L=6%)를 접속한 진상콘덴서의 고조파 흡수효과가 높은 것이 표시되고 있다.
종래의 진상콘덴서는 주로 발배전설비 경감을 위한 역률개선만의 목적으로 설치 운용되어 왔지만, 최근에는 역률개선에 추가해서 고조파 억제용으로서 직렬 리액터 (L=6%)를 접속하는 것을 원칙으로 한 JIS 개정에 의해 필터 효과를 겸하여 설치하게 되었으며, 고압설치보다 저압설치로 하는 일이 많아졌기 때문에 무의식 중에 에너지 절약대책이 도모되게 되었다.
역률개선에 의한 전력손실의 저감은 전기 기본요금의 할인 정도로 현저한 투자효과는 나타나지 않고 계산이 복잡해서 무시되기 쉽지만, 이상 소개한 것과 같은 계산방법과 진상콘덴서 접속개소를 고려하고, 역률개선, 에너지 절약, 고조파 억제와 같은 면에서 진상콘덴서는 전력계통의 원활하고 효율적인 운영에 크게 기여한다.
출처 : 전력계통 손실 저감에 관한 대책(2001, 진영사)
[출처] 전력계통 손실 저감에 관한 대책 - [진상콘덴서 설치의 효과, 역률개선, 에너지 절약, 고조파 제거, 설비여유도 증가]|작성자 공대남
'자료실' 카테고리의 다른 글
| 2024년도 엔지니어링업체임금실태조사결과 공표 (0) | 2025.06.04 |
|---|---|
| 부하용량 및 변압기용량의 추정(건축전기설비 설계기준) (0) | 2024.02.19 |
| KESC(전기설비 세부 검사ㆍ점검 기준) 제ㆍ개정 사항 공고 (0) | 2024.02.18 |
| KESC(전기설비에 대한 세부 검사·점검기준) 민원사례집 (0) | 2024.02.15 |
| 지방자치단체 입찰시 낙찰자 결정기준 (0) | 2024.02.13 |